欢迎来到游戏爱好者,这里是最新最全的游戏下载基地!

您的位置:首页 > 文章频道 > 软件教程
  • 荣耀30pro微信角标怎么设置数字显示?

    荣耀30pro微信角标怎么设置数字显示?

    或许大家对荣耀30pro是有一些了解的,但是大家知道将微信角标设置数字显示的操作吗?今天小编就来分享了荣耀30pro微信角标设置数字显示的图文步骤哦。有需要的朋友一起来看看吧! 荣耀30pro微信角标设置数字显示的方法 1、打开手机桌面上的【设置】。 2、找到【通知】选项点击打开。 3、将角标显示方式设置为数字角标,并打开微信右侧开关。 上面的荣耀30pro微信角标设置数字

    立即阅读2022-10-02 19:30:03

  • MathType如何输入平行四边形符号?

    MathType如何输入平行四边形符号?

    相信才入手MathType软件的朋友可能还不清楚输入平行四边形符号的操作,而今天小编就讲解MathType输入平行四边形符号的图文步骤,相信大家通过学习,在以后的操作中一定会得心应手。1.在杂项符号模板下选择三角符号。2.在Geometry标签下选择平行四边形符号。上文就讲解了MathType输入平行四边形符号的图文步骤,更多精彩资讯请多多关注游戏爱好者。

    立即阅读2022-10-02 19:30:03

  • 多个word文档页数怎么快速统计?

    多个word文档页数怎么快速统计?

    有很多人不了解快速统计多个word文档页数的操作?下面小编就在这里给大家分享了快速统计多个word文档页数的操作方法,希望可以给你们带来帮助。1.使用资源管理器打开包含要统计页数的多个word文档的文件夹。2.单击工具栏中的查看按钮,单击弹出菜单中详细信息命令,这样将以详细信息视图查看文档。3.右键单击详细信息视图中的任意列(如名称或大小等),然后单击弹出菜单中的其他...命令,这时将会打开选择详

    立即阅读2022-10-02 19:30:03

  • 钉钉作业怎么打回重写?

    钉钉作业怎么打回重写?

    使用钉钉时,有的网友会遇到一些问题,例如学生写的作业怎么打回重写,这段时间很多的老师都会选择使用钉钉来给学生们线上网课,下面小编就讲解钉钉作业打回重写的简单操作内容,希望可以帮助到你们。1、打开钉钉,在工作界面,点击家校本。2、找到你要进行批改的那次作业。3、找到你要打回订正的学生作业。4、找到之后点击进入,然后点击打回订正。5、填写打回订正原因(也可以不写),点击确认打回。6、这样我们就把该学生

    立即阅读2022-10-02 19:30:03

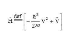
  • MathType怎样输入量子算符?

    MathType怎样输入量子算符?

    有很多人不了解MathType怎么输入量子算符的操作?下面小编就在这里给大家分享了MathType输入量子算符的操作方法,希望可以给你们带来帮助。比如哈密顿算符:详细操作如下:输入H后,在MathType工具栏中选择修饰模板中的帽子模板。在矩阵模板中选择2行1列模板。在矩阵的上部选择底线与顶线模板中的双底线模板。选择括号模板中的括号或方括号模板,依次输入,再选择分式模板中的标准分式尺寸输入分式,分

    立即阅读2022-10-02 19:30:03

  • 小黑盒怎么申请退款?

    小黑盒怎么申请退款?

    最近不少朋友表示还不知道小黑盒怎么退款游戏吗?下面小编就带来了小黑盒退款游戏的简单方法哦,一起去看看吧,希望可以给你们带来帮助。退款操作:1、首先要在游戏库中找到需要退款的游戏。2、然后单击游戏名字左键,进入该游戏的主界面,然后在右侧链接的下方,点击客服。3、打开客服选项,选择和心中预期有落差或者是游戏或者技术上有问题。4、接下来就等页面出来之后,选择我想申请退款。5、然后选择退款方式,退款方式就

    立即阅读2022-10-02 16:00:03

  • 美团怎么更换收货地址?

    美团怎么更换收货地址?

    最近不少朋友表示还不知道美团APP怎么修改收货地址吗?美团是一款非常实用的生活应用,下面小编就带来了美团修改收货地址的简单方法哦,一起去看看吧,希望可以给你们带来帮助。方法步骤:1.首先第一步我们打开手机之后进入到美团APP的界面中,切换到个人中心界面之后点击右上方的齿轮图标,进入到应用的设置界面。2.进入到应用的设置界面之后,我们就可以看到个人信息这个功能选项了,其中就有我们的收货地址信息,然后

    立即阅读2022-10-02 16:00:03

  • 追书宝小说怎么下载?

    追书宝小说怎么下载?

    亲们想知道追书宝怎么下载小说的操作吗?追书宝是一款非常优质的手机小说阅读软件,下面就是小编整理的追书宝中下载小说的方法步骤,赶紧来看看吧,希望能帮助到大家哦!方法介绍:1、首先打开追书宝APP,进入软件之后通过书城中的各个分类找到自己喜欢的小说;2、找到小说之后点击进入小说详情页面,在左下角找到缓存选项,点击即可下载缓存;3、下载完成之后,左下角就会显示已缓存,这样就可以随时随地畅读了。以上就是小

    立即阅读2022-10-02 16:00:03

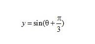
  • MathType怎么输入三角函数?

    MathType怎么输入三角函数?

    使用MathType还不会输入三角函数?许多新手朋友表示还不了解,为此,下面小编就分享了MathType输入三角函数的操作流程,希望有需要的朋友都来共同学习哦。例如:详细操作如下:1.打开MathType,按键盘用字母输入y=sin和括号。2.光标放在括号中,在MathType工具栏中的希腊字母模板中选择输入,也可以直接在MathType的工具栏中点选即可。3.输入+,选择分式与根式模板中的标准分

    立即阅读2022-10-02 16:00:03

  • WeLink怎么开启会议?

    WeLink怎么开启会议?

    WeLink怎么发起会议?本章节就主要讲述了WeLink发起会议的简单步骤,还不了解的朋友就跟着小编学习一下吧,希望对你们有所帮助。1、若想在WeLink中发起会议,一共有两种方法可以实现,下面进行讲解,首先打开团队,点击群聊窗口中语音或视频图标,即可跟团队成员进行语音或视频会议,2、在会议页签中选择发起会议,可以发起视频会议或者语音会议,并根据需要调整是否需要ID等设置,最后点击立即开始即可召开

    立即阅读2022-10-02 16:00:03

  • 几何画板怎样求函数最值?

    几何画板怎样求函数最值?

    你们知道几何画板怎么求函数最值吗?相信还有很多用户还不是很清楚,对此感兴趣的用户可以随小编去下文看看几何画板求函数最值的操作方法,希望能够帮助到大家。例如:求函数f(x)=x4-3x3+2x-2在区间[-1,3]的最大值与最小值。详细操作如下:1.选择绘图绘制新函数,在函数编辑器中输入函数表达式,点击确定后出现函数图象。2.选择自定义工具中函数工具极大/极小值。单击函数f(x)的表达式,将鼠标移动

    立即阅读2022-10-02 16:00:03

  • 几何画板怎么制作德萨格构图?

    几何画板怎么制作德萨格构图?

    几何画板是很多伙伴常会使用到的一款软件,那你晓得怎么绘制德萨格构图?如若不了解的话,就看看下文几何画板绘制德萨格构图的方法吧。打开几何画板,在画板上选择一个点,用文本工具标记为O,选择射线工具,以O为起点画三条射线。选择直线工具,画一条直线与三条射线相交,在直线上位于射线上方和下方分别取一点,分别用文本工具标记为X和Z。在位于上方的射线上被直线分割的两边各取一点,用文本工具分别标记为A和A,用线段

    立即阅读2022-10-02 16:00:02

Copyright © 1998-2020 golue.com All Rights Reserved