欢迎来到游戏爱好者,这里是最新最全的游戏下载基地!

您的位置:首页 > 文章频道 > 软件教程
  • 哔哩哔哩怎么设置自动下载?

    哔哩哔哩怎么设置自动下载?

    估计有的用户还不了解哔哩哔哩怎么开启自动下载的操作?用户可以看到很多自己喜欢的动漫作品,下文小编就分享了哔哩哔哩开启自动下载的教程,希望对你们有所帮助哦。方法步骤:1.首先打开我们手机中的该软件,点击自己的头像,打开设置界面并在设置界面中,找到【下载管理】功能按钮。2.进入下载界面后,点击如图所示位置的齿轮按钮。3.最后,我们只需在该界面中,打开自动下载功能即可。以上就是小编今天为大家带来的哔哩哔

    立即阅读2022-10-03 07:30:02

  • 慕课怎样绑定手机?

    慕课怎样绑定手机?

    前段时间很多亲们咨询慕课如何绑定手机的操作,慕课是一款非常不错的线上学习的APP,而下文小编就分享了慕课绑定手机的操作内容,相信对大家会有所帮助的。绑定方法打开慕课APP,点击【账号】。点击右上角的螺丝圈图标。进入设置界面后,下拉找到【手机账号绑定】并点击。输入手机号并点击【获取验证码】,验证完毕后点击绑定,完成绑定。不是用手机号注册的小伙伴可以去绑定一下,避免忘记密码后带来的麻烦,希望本文对你有

    立即阅读2022-10-03 07:30:02

  • 慕课怎么使用?

    慕课怎么使用?

    近日有一些小伙伴咨询小编关于慕课怎么用呢?大规模开放在线课程,超多的课程供你选择,下面就为大家带来了慕课使用的详细方法,有需要的小伙伴可以来了解了解哦。打开慕课APP,如果是第一次打开就会让你选择自己的偏好,根据个人情况选择。选好后进入主界面,我们可以在这里选择、搜索相应的课程;而刚选好的课程分类也已经在搜索栏的下方了,我们可以点击右方的三杠图标进行添加其它分类。点击【我的学习】,尚未选择课程的话

    立即阅读2022-10-03 07:30:02

  • 做菜大全怎么用?

    做菜大全怎么用?

    估计有的用户还不了解做菜大全APP怎么使用,下文小编就分享使用做菜大全的方法步骤,教你如何制作美食,来下文看一看吧,希望对你们有所帮助哦。使用方法打开做菜大全APP,有许多热门的菜谱,令人垂涎三尺。点击【菜谱分类】,这里将所有菜谱进行分类,可以根据个人需要进行查看。做菜大全APP还内置了各种资讯。在【首页】或【菜谱分类】中,点击上方【搜索食材/食谱】,可以进行搜索菜谱,如果你在【按菜名搜】中输入食

    立即阅读2022-10-03 07:30:02

  • 课后网手机版怎么用?

    课后网手机版怎么用?

    很多用户使用课后网时,还不清楚该如何使用?下面一起去看看课后网手机版使用的操作方法吧,加深巩固知识点,感兴趣的伙伴可以了解一下哦。手机端使用方法首先打开课后网APP,输入账号密码登入,没有就注册一个。1、如何选课在【直播】界面选择年级、学科,进行筛选课程,再点击心仪的课程进行报名,若没有该年级课程则可以查看【精选课程】,寻找需要的课程。2、如何上课根据安排的课程时间,可以提前登录,进入【直播】界面

    立即阅读2022-10-03 07:00:03

  • tim怎么进行视频?

    tim怎么进行视频?

    不少朋友喜欢使用tim软件,那么大家清楚tim如何发起群视频的操作吗?若还不了解,就来学习学习tim发起群视频的具体步骤吧! tim发起群视频的具体方法 1、首先我们打开tim 2、打开一个群聊 3、点击右下方的加号 4、点击直播间 5、点击立即视频即可 以上就是小编为大家整理的全部内容,更多精彩资讯尽在游戏爱好者。

    立即阅读2022-10-03 07:00:03

  • 闲鱼消息不提醒怎么办?

    闲鱼消息不提醒怎么办?

    估计有的用户还不了解闲鱼消息不提醒怎么办,下文小编就分享闲鱼消息不提醒处理方法步骤,希望对你们有所帮助哦。 闲鱼消息不提醒处理方法 首先,我们打开软件来到首页点击右下角的我的选项,接着再点击设置。 进入到设置界面后再点击消息提醒设置,最后再根据需要设置的消息提醒点击旁边的按钮即可。 第二种方法:先看看通知功能是不是开启了。先看看这个软件应用内设置,我-设置-消息通知。然后在系统设

    立即阅读2022-10-03 06:30:03

  • 剪映怎么设置视频比例?

    剪映怎么设置视频比例?

    有些视频原来的比例大小就不太合适,所以可能会存在诸多的限制。那么在剪映APP中,我们如何调整视频比例呢?下面小编就为大家带来了剪映视频比例的调整方法,还不知道怎么调整视频比例的小伙伴们可以来看看哦!最近有的伙伴在操作剪映过程里表示,自己对调整视频比例的操作还不太了解,为此,这里小编就为大伙分享了关于剪映视频比例的调整方法,一起来看看吧。剪映视频比例怎么调?1、在剪映里面点击【开始创作】,进入下一步

    立即阅读2022-10-03 05:00:02

  • PPT怎么设置列表的样式?

    PPT怎么设置列表的样式?

    相信有的朋友还不晓得PPT绘制列表的样式的相关操作,这里小编就为各位朋友介绍了PPT绘制列表的样式的操作内容,有需要的朋友快来跟随小编一起看看吧!一、绘制图形打开PPT。单击插入。单击SmartArt弹出对话框后,单击列表,选择所需的图形,单击确定。5、图形便插入到幻灯片中。按需要设置和编辑。二、设置列表的形状把鼠标停留于需要设置的图形中,单击鼠标右键。弹出内容后,将鼠标停留于更改形状处。出现形状

    立即阅读2022-10-03 05:00:02

  • Revit怎么计算导线长度?

    Revit怎么计算导线长度?

    使用Revit还不会计算导线长度?本节就介绍了Revit计算导线长度的详细步骤,还不了解的朋友就跟着小编学习一下吧,希望对你们有所帮助。1.这儿采用的方法是用线管命令根据导线的实际走向绘制出线管模型来代替导线;2.绘制好线管会发现线管中的导线数量是不一样的,这样统计出来的线管并不能满足我们的要求,可以添加一个参数来计算出不同导线数量的线管;3.点击管理选项下的共享参数命令,新建一个参数命名为导线数

    立即阅读2022-10-03 05:00:02

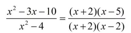
  • MathType怎样输入约去分式?

    MathType怎样输入约去分式?

    相信有的朋友还不晓得MathType输入约去分式的相关操作,这里小编就为各位朋友介绍了MathType输入约去分式的操作内容,有需要的朋友快来跟随小编一起看看吧!假设使用的等式如图所示:要约去等式中相同因式,可以用MathType的约去划线模板来完成,详细操作如下:1.打开MathType,在分式模板中选择标准分式输入分式。在=输入好后插入第二个分式模板。2.在底线与顶线模板中选择划线模板。3.在

    立即阅读2022-10-03 05:00:02

  • MathType如何输入任意维数矩阵?

    MathType如何输入任意维数矩阵?

    近日有一些小伙伴咨询小编关于在MathType怎么输入任意维数矩阵呢?下面就为大家带来了MathType输入任意维数矩阵的操作方法,有需要的小伙伴可以来了解了解哦。1.打开MathType,在矩阵类别下输入矩阵符号。2.将鼠标置于矩阵元素处,点击菜单栏【格式】按钮,在下拉菜单中选择矩阵选项,选择在上方添加一行。3.根据需要可以随意在元素的上方或者下方,左侧或者右侧添加行或者是列。以上这里为各位分享

    立即阅读2022-10-03 05:00:02

Copyright © 1998-2020 golue.com All Rights Reserved